Portada del sitio > Linux > Textos de calidad con Lyx
Lyx (ubuntu Edgy o Guadalinex V4)
Textos de calidad con Lyx
Textos científicos con la calidad de LaTeX
Jueves 4 de enero de 2007, por
La creación de textos científicos o textos de calidad que ofrece LaTeX está aún a años luz de lo que pueden ofrecernos los procesadores de textos tradicionales (Word, OpenOffice Writer, etc.).
Si bien es cierto que LaTeX es difícil para el usuario medio, con la ayuda de LyX se acabaron (o al menos disminuyeron) las dificultades
La principal ventajas de LaTeX respecto a OpenOffice, Word, etc. es que el objetivo final del texto es la impresora o un fichero PDF.
Si sólo piensa crear documentos con sólo texto (sin ecuaciones, sin símbolos o caracteres especiales, sin gráficos, etc.) puede seguir usando OpenOffice (que también puede convertir el documento a PDF, aunque tenga un tamaño unas 10 veces mayor que el idéntico generado con LaTeX).
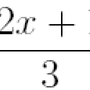
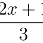
Si por el contrario, quiere crear documentos con ecuaciones, símbolos, etc. para convertirlo en un PDF, que además de ocupar unas pocas kb. se imprima con calidad y pueda visualizarse perfectamente, aunque aumentemos el zoom a 400%, sin perder calidad, debe usar LaTeX.
ampliación (ecuación creada con procesador de textos clásico)
Aunque las posibilidades de LaTeX son infinitas (todo lo que usted pueda dibujar en un papel, lo puede hacer con LaTeX), su aprendizaje es algo duro. Si tiene la suerte de ser usuario de Linux, puede usar LyX para crear sus documentos LaTeX, prácticamente igual que si usara un procesador de textos wysiyig.
LyX no suele venir con casi ninguna distribución de Linux, por lo que el primer paso sería instalarlo. Evidentemente también necesitaríamos instalar todos los paquetes de LaTeX previamente.
Instalando LyX en ubuntu Edgy
Veamos cómo hacerlo con una distribución moderna como ubuntu Edgy (6.10) o su derivada Guadalinex V4.
Al decirle que instale LyX ya se encarga Linux de instalar LaTeX. Por tanto:
$ sudo apt-get install lyxSi por casualidad le aparece en inglés, instale el paquete de idioma para kde: kde-i18n-es.
Podemos iniciar LyX desde terminal
$ lyx
Si en los menús no ve correctamente los acentos necesita ejecutar:
$ sudo localedef -i es_ES -f ISO-8859-1 es_ESConfigurando Lyx
Tan sólo necesitamos configurar el idioma y ya de paso instalar un corrector ortográfico de castellano.
En el menú Herramientas / Preferencias elija Idioma predeterminado: español.
Para el corrector ortográfico podemos usar varios. Si tiene instalado OpenOffice con diccionario castellano puede usar aspell. Yo particularmente prefiero ispell, pero no se encuentra instalado, necesitamos hacer:
$ sudo apt-get install ispell ispanishAhora ya podemos elegir en la configuración ispell como corrector ortográfico.
Uso de Lyx
Para usar correctamente LyX necesitaríamos, no un artículo, sino un libro. De momento puede conformarse con iniciarlo (desde terminal: lyx), crear un documento, guardarlo y exportarlo a pdf: Menú Archivo - Exportar - PDF(pdfatex).
LyX tiene una excelente ayuda y documentación. Puede usarla para ir aprendiendo.
Próximamente publicaré algunos artículos (estilo manual) sobre LyX, pero eso será en la web de recursos matemáticos: lubrin.org/mat
lubrin.org




Mensajes
1. Textos de calidad con Lyx, 3 de noviembre de 2008, 17:34, por gaby
Exelente!!!! me sirvio bastante
2. Textos de calidad con Lyx, 30 de enero de 2009, 14:11
por si acaso, ahora lyx está disponible también para usuarios de windows
3. Textos de calidad con Lyx, 17 de febrero de 2011, 03:04, por lalo guevara
Perfecto, una muy buena ayuda.
Gracias.